lymecycline 🐶 Veterinary Use | Indications/Contra | FAERs-F | FAERs-M | Orange Bk | BioActivity |

Stem definitionDrug idCAS RN
antibiotics, protein-synthesis inhibitors, tetracycline derivatives 1619 992-21-2

Description:

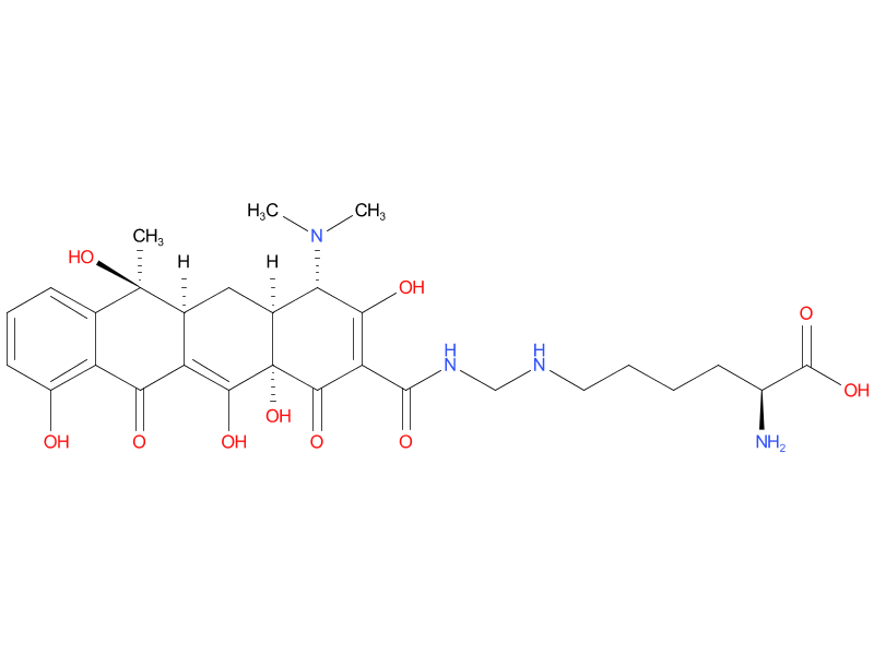
MoleculeDescription

Molfile Inchi Smiles

Synonyms:

  • lymecycline
  • mucomycin
  • ciclolysine
  • Tetracycline-L-methylenelysine
  • tetracyclinemethylenelysine
A semisynthetic antibiotic related to TETRACYCLINE. It is more readily absorbed than TETRACYCLINE and can be used in lower doses.
  • Molecular weight: 602.64
  • Formula: C29H38N4O10
  • CLOGP: -4.07
  • LIPINSKI: 3
  • HAC: 14
  • HDO: 9
  • TPSA: 242.98
  • ALOGS: -2.66
  • ROTB: 10

Drug dosage:

DoseUnitRoute
0.60 g O
0.60 g P

ADMET properties:

PropertyValueReference
BA (Bioavailability) 99 % Kim MT, Sedykh A, Chakravarti SK, Saiakhov RD, Zhu H

Approvals:

None

FDA Adverse Event Reporting System (Female)

MedDRA adverse event termLikelihood ratioLikelihood ratio thresholdPatients taking drug having adverse eventPatients taking drug not having adverse eventPatients not taking drug having adverse eventPatients not taking drug not having adverse event
Drug reaction with eosinophilia and systemic symptoms 62.11 37.95 20 619 33816 63454567
Swelling face 42.97 37.95 18 621 63457 63424926

FDA Adverse Event Reporting System (Male)

None

FDA Adverse Event Reporting System (Geriatric)

MedDRA adverse event termLikelihood ratioLikelihood ratio thresholdPatients taking drug having adverse eventPatients taking drug not having adverse eventPatients not taking drug having adverse eventPatients not taking drug not having adverse event
Drug reaction with eosinophilia and systemic symptoms 53.54 36.14 22 900 64222 79679244
Hidradenitis 46.58 36.14 10 912 3034 79740432
Swelling face 44.83 36.14 20 902 71192 79672274

FDA Adverse Event Reporting System (Pediatric)

None

Pharmacologic Action:

SourceCodeDescription
ATC J01AA04 ANTIINFECTIVES FOR SYSTEMIC USE
ANTIBACTERIALS FOR SYSTEMIC USE
TETRACYCLINES
Tetracyclines
MeSH PA D000900 Anti-Bacterial Agents
MeSH PA D000890 Anti-Infective Agents
CHEBI has role CHEBI:33281 antibiotics
CHEBI has role CHEBI:35820 antiprotozoal drugs
CHEBI has role CHEBI:36047 antibacterial drugs
CHEBI has role CHEBI:48001 protein synthesis inhibitors

Drug Use | Suggest Off label Use Form| |View source of the data|

None




🐶 Veterinary Drug Use

None

🐶 Veterinary products

None

Acid dissociation constants calculated using MoKa v3.0.0

Dissociation levelDissociation constantType (acidic/basic)
pKa1 1.99 acidic
pKa2 3.72 acidic
pKa3 7.83 acidic
pKa4 9.46 acidic
pKa5 11.9 acidic
pKa6 13.04 acidic
pKa7 13.7 acidic
pKa8 10.16 Basic
pKa9 9.21 Basic
pKa10 8.44 Basic

Orange Book patent data (new drug applications)

None

Orange Book exclusivity data (new drug applications)

None

Bioactivity Summary:

None

External reference:

IDSource
N0000167346 NUI
D06884 KEGG_DRUG
C0024200 UMLSCUI
CHEBI:59040 CHEBI
CHEMBL2103929 ChEMBL_ID
D008194 MESH_DESCRIPTOR_UI
DB00256 DRUGBANK_ID
10912 IUPHAR_LIGAND_ID
1679 INN_ID
7D6EM3S13P UNII
54707177 PUBCHEM_CID
6513 RXNORM
003993 NDDF
387548007 SNOMEDCT_US
96077007 SNOMEDCT_US

Pharmaceutical products:

None