oxidronic acid 🐶 Veterinary Use | Indications/Contra | FAERs-F | FAERs-M | Orange Bk | BioActivity |

Stem definitionDrug idCAS RN
calcium metabolism regulator, pharmaceutical aid 3409 15468-10-7

Description:

MoleculeDescription

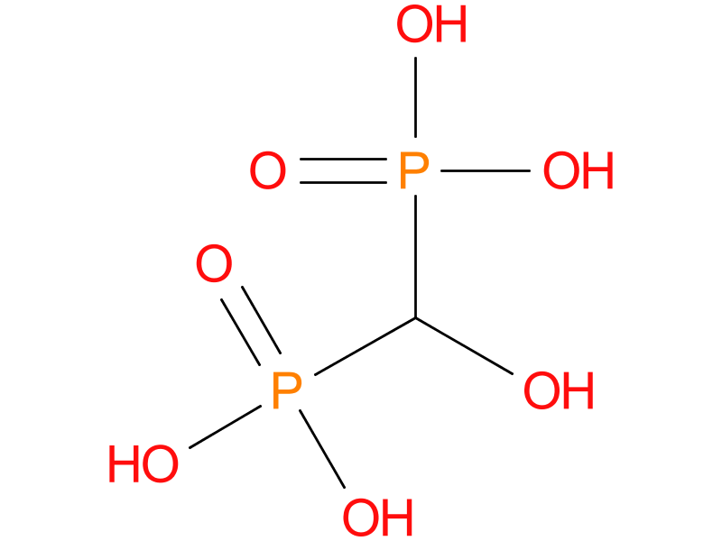
Molfile Inchi Smiles

Synonyms:

  • oxidronic acid
  • hydroxymethanediphosphonic acid
  • hydroxymethylenediphosphonate
  • hydroxymethylenediphosphonic acid
  • oxidronate disodium
  • Molecular weight: 192
  • Formula: CH6O7P2
  • CLOGP: -1
  • LIPINSKI: 0
  • HAC: 7
  • HDO: 5
  • TPSA: 135.29
  • ALOGS: -1.15
  • ROTB: 2

Drug dosage:

None

ADMET properties:

None

Approvals:

DateAgencyCompanyOrphan
None FDA

FDA Adverse Event Reporting System (Female)

None

FDA Adverse Event Reporting System (Male)

None

FDA Adverse Event Reporting System (Geriatric)

MedDRA adverse event termLikelihood ratioLikelihood ratio thresholdPatients taking drug having adverse eventPatients taking drug not having adverse eventPatients not taking drug having adverse eventPatients not taking drug not having adverse event
Bone scan abnormal 101.63 78.56 10 47 208 79744123

FDA Adverse Event Reporting System (Pediatric)

None

Pharmacologic Action:

None

Drug Use | Suggest Off label Use Form| |View source of the data|

None




🐶 Veterinary Drug Use

None

🐶 Veterinary products

None

Acid dissociation constants calculated using MoKa v3.0.0

Dissociation levelDissociation constantType (acidic/basic)
pKa1 1.15 acidic
pKa2 5.22 acidic
pKa3 6.21 acidic
pKa4 10.27 acidic
pKa5 12.13 acidic

Orange Book patent data (new drug applications)

None

Orange Book exclusivity data (new drug applications)

None

Bioactivity Summary:

None

External reference:

IDSource
D05296 KEGG_DRUG
14255-61-9 SECONDARY_CAS_RN
C1337343 UMLSCUI
CHEBI:134844 CHEBI
CHEMBL1615775 ChEMBL_ID
DB14159 DRUGBANK_ID
27304 PUBCHEM_CID
4727 INN_ID
C029285 MESH_SUPPLEMENTAL_RECORD_UI
71MR4V32TI UNII
1306067 RXNORM
009835 NDDF

Pharmaceutical products:

ProductCategoryIngredientsNDCFormQuantityRouteMarketingLabel
Technescan HDP HUMAN PRESCRIPTION DRUG LABEL 1 69945-091 INJECTION, POWDER, LYOPHILIZED, FOR SOLUTION 3.15 mg INTRAVENOUS NDA 16 sections
Technescan HDP HUMAN PRESCRIPTION DRUG LABEL 1 69945-091 INJECTION, POWDER, LYOPHILIZED, FOR SOLUTION 3.15 mg INTRAVENOUS NDA 16 sections