sultamicillin 🐶 Veterinary Use | Indications/Contra | FAERs-F | FAERs-M | Orange Bk | BioActivity |

Stem definitionDrug idCAS RN
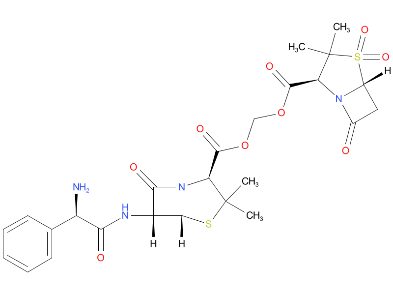
antibiotics, 6-aminopenicillanic acid derivatives 2539 76497-13-7

Description:

MoleculeDescription

Molfile Inchi Smiles

Synonyms:

  • sultamicillin
  • sultamicillin tosilate
contains ampicillin & sulbactam
  • Molecular weight: 594.65
  • Formula: C25H30N4O9S2
  • CLOGP: 1.74
  • LIPINSKI: 2
  • HAC: 13
  • HDO: 2
  • TPSA: 182.48
  • ALOGS: -3.32
  • ROTB: 9

Drug dosage:

DoseUnitRoute
1.50 g O

ADMET properties:

None

Approvals:

None

FDA Adverse Event Reporting System (Female)

None

FDA Adverse Event Reporting System (Male)

None

FDA Adverse Event Reporting System (Geriatric)

None

FDA Adverse Event Reporting System (Pediatric)

None

Pharmacologic Action:

SourceCodeDescription
ATC J01CR04 ANTIINFECTIVES FOR SYSTEMIC USE
ANTIBACTERIALS FOR SYSTEMIC USE
BETA-LACTAM ANTIBACTERIALS, PENICILLINS
Combinations of penicillins, incl. beta-lactamase inhibitors
MeSH PA D000900 Anti-Bacterial Agents
MeSH PA D000890 Anti-Infective Agents

Drug Use | Suggest Off label Use Form| |View source of the data|

None




🐶 Veterinary Drug Use

None

🐶 Veterinary products

None

Acid dissociation constants calculated using MoKa v3.0.0

Dissociation levelDissociation constantType (acidic/basic)
pKa1 7.17 Basic

Orange Book patent data (new drug applications)

None

Orange Book exclusivity data (new drug applications)

None

Bioactivity Summary:

None

External reference:

IDSource
4023134 VUID
N0000021139 NUI
D05972 KEGG_DRUG
4023134 VANDF
C2930041 UMLSCUI
CHEBI:51770 CHEBI
CHEMBL506110 ChEMBL_ID
DB12127 DRUGBANK_ID
C035444 MESH_SUPPLEMENTAL_RECORD_UI
12290 IUPHAR_LIGAND_ID
5151 INN_ID
65DT0ML581 UNII
444022 PUBCHEM_CID
1009148 RXNORM
43062 MMSL
d00090 MMSL
005765 NDDF
398786001 SNOMEDCT_US
710202000 SNOMEDCT_US

Pharmaceutical products:

None