dirlotapide 🐶 Veterinary Use | Indications/Contra | FAERs-F | FAERs-M | Orange Bk | BioActivity |

Stem definitionDrug idCAS RN
microsomal triglyceride transfer protein (MTP) inhibitors 5527 481658-94-0

Description:

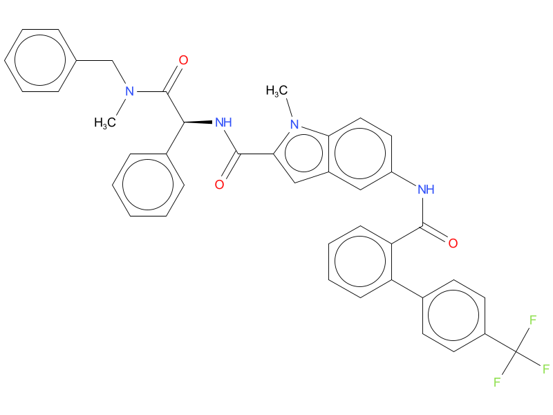
MoleculeDescription

Molfile Inchi Smiles

Synonyms:

  • dirlotapide
  • slentrol
  • CP-742033
  • Molecular weight: 674.72
  • Formula: C40H33F3N4O3
  • CLOGP: 7.99
  • LIPINSKI: 2
  • HAC: 7
  • HDO: 2
  • TPSA: 83.44
  • ALOGS: -6.87
  • ROTB: 10

Drug dosage:

None

ADMET properties:

None

Approvals:

DateAgencyCompanyOrphan
None FDA

FDA Adverse Event Reporting System (Female)

None

FDA Adverse Event Reporting System (Male)

None

FDA Adverse Event Reporting System (Geriatric)

None

FDA Adverse Event Reporting System (Pediatric)

None

Pharmacologic Action:

None

Drug Use | Suggest Off label Use Form| |View source of the data|

None




🐶 Veterinary Drug Use

SpeciesUseRelation
Dogs Management of obesity Indication

🐶 Veterinary products

ProductApplicantIngredients
Slentrol Zoetis Inc. 1

Acid dissociation constants calculated using MoKa v3.0.0

None

Orange Book patent data (new drug applications)

None

Orange Book exclusivity data (new drug applications)

None

Bioactivity Summary:

TargetClassPharosUniProtActionTypeActivity value
(-log[M])
Mechanism
action
Bioact sourceMoA source
Microsomal triglyceride transfer protein large subunit Cytosolic other IC50 10.95 CHEMBL

External reference:

IDSource
CHEMBL410414 ChEMBL_ID
C521290 MESH_SUPPLEMENTAL_RECORD_UI
DB11399 DRUGBANK_ID
C1958588 UMLSCUI
8468 INN_ID
427181005 SNOMEDCT_US
427351008 SNOMEDCT_US
D03867 KEGG_DRUG
9917862 PUBCHEM_CID
1592684 RXNORM
578H0RMP25 UNII

Pharmaceutical products:

None