norvinisterone 🐶 Veterinary Use | Indications/Contra | FAERs-F | FAERs-M | Orange Bk | BioActivity |

Stem definitionDrug idCAS RN
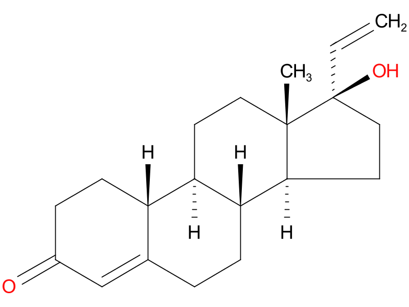
steroids, progestogens 3390 6795-60-4

Description:

MoleculeDescription

Molfile Inchi Smiles

Synonyms:

  • norvinisterone
  • neoprogestin
  • Molecular weight: 300.44
  • Formula: C20H28O2
  • CLOGP: 3.65
  • LIPINSKI: 0
  • HAC: 2
  • HDO: 1
  • TPSA: 37.30
  • ALOGS: -4.50
  • ROTB: 1

Drug dosage:

None

ADMET properties:

None

Approvals:

None

FDA Adverse Event Reporting System (Female)

None

FDA Adverse Event Reporting System (Male)

None

FDA Adverse Event Reporting System (Geriatric)

None

FDA Adverse Event Reporting System (Pediatric)

None

Pharmacologic Action:

None

Drug Use | Suggest Off label Use Form| |View source of the data|

None




🐶 Veterinary Drug Use

None

🐶 Veterinary products

None

Acid dissociation constants calculated using MoKa v3.0.0

None

Orange Book patent data (new drug applications)

None

Orange Book exclusivity data (new drug applications)

None

Bioactivity Summary:

None

External reference:

IDSource
C2825279 UMLSCUI
CHEBI:135270 CHEBI
CHEMBL2106828 ChEMBL_ID
65588 PUBCHEM_CID
940 INN_ID
7Q843V12Q0 UNII

Pharmaceutical products:

None