prenderol 🐶 Veterinary Use | Indications/Contra | FAERs-F | FAERs-M | Orange Bk | BioActivity |

Stem definitionDrug idCAS RN
2259 115-76-4

Description:

MoleculeDescription

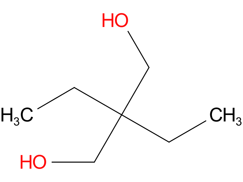
Molfile Inchi Smiles

Synonyms:

  • prenderol
  • 2,2-Diethyl-1,3-propanediol
  • Molecular weight: 132.20
  • Formula: C7H16O2
  • CLOGP: 0.82
  • LIPINSKI: 0
  • HAC: 2
  • HDO: 2
  • TPSA: 40.46
  • ALOGS: -0.21
  • ROTB: 4

Drug dosage:

None

ADMET properties:

None

Approvals:

None

FDA Adverse Event Reporting System (Female)

None

FDA Adverse Event Reporting System (Male)

None

FDA Adverse Event Reporting System (Geriatric)

None

FDA Adverse Event Reporting System (Pediatric)

None

Pharmacologic Action:

None

Drug Use | Suggest Off label Use Form| |View source of the data|

DiseaseRelationSNOMED_IDDOID
Childhood absence epilepsy indication 50866000




🐶 Veterinary Drug Use

None

🐶 Veterinary products

None

Acid dissociation constants calculated using MoKa v3.0.0

None

Orange Book patent data (new drug applications)

None

Orange Book exclusivity data (new drug applications)

None

Bioactivity Summary:

None

External reference:

IDSource
C2981301 UMLSCUI
CHEBI:134759 CHEBI
8284 PUBCHEM_CID
A40PF8120T UNII

Pharmaceutical products:

None