guancidine 🐶 Veterinary Use | Indications/Contra | FAERs-F | FAERs-M | Orange Bk | BioActivity |

Stem definitionDrug idCAS RN
antihypertensives, guanidine derivatives 1341 1113-10-6

Description:

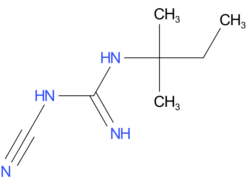
MoleculeDescription

Molfile Inchi Smiles

Synonyms:

  • guancydine
  • guancidin
  • guancidine
minor descriptor (72-85); on-line & Index Medicus search GUANIDINES (72-85)
  • Molecular weight: 154.22
  • Formula: C7H14N4
  • CLOGP: 1.44
  • LIPINSKI: 0
  • HAC: 4
  • HDO: 3
  • TPSA: 71.70
  • ALOGS: -1.73
  • ROTB: 2

Drug dosage:

None

ADMET properties:

None

Approvals:

None

FDA Adverse Event Reporting System (Female)

None

FDA Adverse Event Reporting System (Male)

None

FDA Adverse Event Reporting System (Geriatric)

None

FDA Adverse Event Reporting System (Pediatric)

None

Pharmacologic Action:

None

Drug Use | Suggest Off label Use Form| |View source of the data|

None




🐶 Veterinary Drug Use

None

🐶 Veterinary products

None

Acid dissociation constants calculated using MoKa v3.0.0

Dissociation levelDissociation constantType (acidic/basic)
pKa1 7.5 Basic

Orange Book patent data (new drug applications)

None

Orange Book exclusivity data (new drug applications)

None

Bioactivity Summary:

None

External reference:

IDSource
D04378 KEGG_DRUG
CHEBI:134780 CHEBI
CHEMBL1697839 ChEMBL_ID
C100199 MESH_SUPPLEMENTAL_RECORD_UI
14211 PUBCHEM_CID
C0061942 UMLSCUI
2345 INN_ID
71Y9TQ5U2Z UNII

Pharmaceutical products:

None